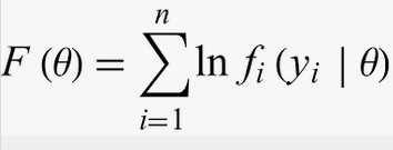
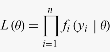
• Métricas para medir la bondad de modelos lineales

    • Hacer intentos: 1